【第38期】排列组合之隔板模型

【例 1】
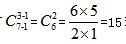
有 10 本相同的杂志要分给三个不同的阅读室,要求每个阅读室至少分 一本,有多少种方法?
A.36 B.45 C.72 D.90
点击下方空白区域查看答案
▼

【例 2】
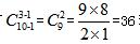
将 10 张“200 元代金券”分给部门的 3 位先进工作者,每人至少分 2 张,则有多少种不同的分配方案?
A.10 B.15 C.22 D.30
点击下方空白区域查看答案
▼
在行测考试中,排列组合问题经常出现,大多数学生对于这类题目总是望而 生畏,但其实如果了解了其中的相应逻辑关系,很多问题就迎刃而解了。
在排列 组合问题中,有一类隔板模型的题目,如果能够掌握题目特征和对应的公式,问 题就可以顺其自然地解决了。
隔板模型的本质其实是相同元素的不同分堆,解决隔板模型的问题,我们需 要了解对应的公式:把 n 个相同的元素分给 m 个不同的对象,每个对象至少分得 1 个元素,一共有
种分法。不过,隔板模型的应用需要满足以下条件:
首先,所要分的元素必须完全相 同;
其次,所要分的元素必须分完,决不允许有剩余;
最后,每个对象至少分到一 个,决不允许出现分不到元素的对象。只要同时满足了以上三个条件,就可以直 接使用隔板模型的公式。

文都知兴教育科技有限公司
联系电话:400-050-1010
企业邮箱:tjwenduzhixing@163.com

